描述
關於習題的問題討論請在此處發表。
Exercise 6.2
林宥呈
21 March 2026
Exercise 6.1
林宥呈
21 March 2026
Exercise 5.11
林宥呈
11 March 2026
Exercise 5.10
林宥呈
11 March 2026
Exercise 5.9
林宥呈
11 March 2026
Exercise 5.7
包子入侵
7 March 2026
Exercise 5.8
包子入侵
7 March 2026
Exercise 5.6
包子入侵
7 March 2026
Exercise 5.5
包子入侵
6 March 2026
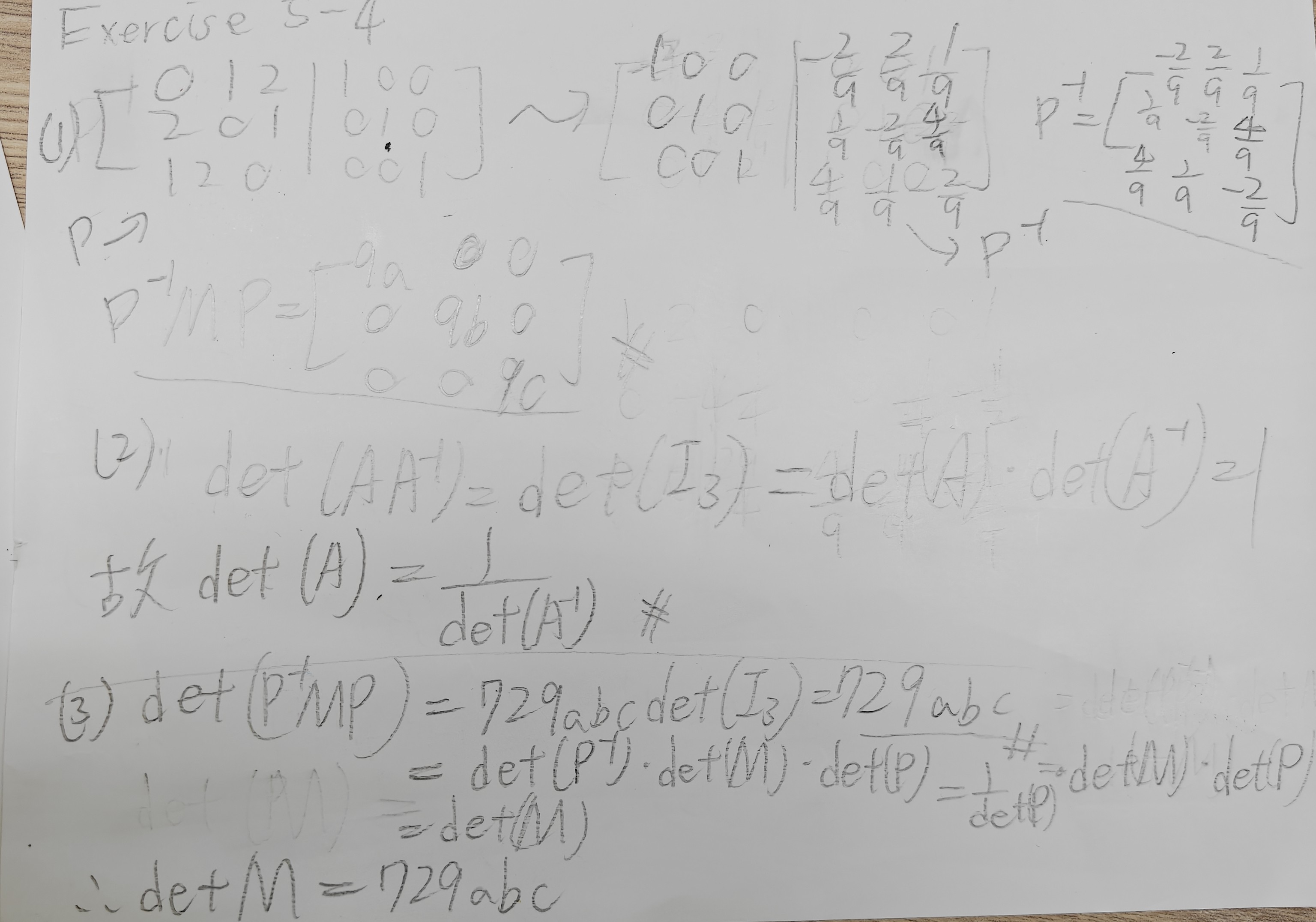
Exercise 5-4
張翔誠實名討論
26 February 2026










