茗毅 10 December 2025 討論區 線性代數習題討論 Orthonormal basis Li 週五, 2025-12-12 17:48 已找到 orthonormal basis 為何還用 orthogonal basis 求 projection 呢?另外最後一句話對應的 orthogonal complement 是什麼意思?是指對 orthogonal complement 的投影嗎?到底先算對 $\mathrm{Span}(x^2,1)$ 投影比較好算還是對其 orthogonal complement 的投影比較好算? 登入 或 註冊 以發表評論。 (2) 用 orthonormal basis 算 meow.1230 週五, 2025-12-19 00:42 登入 或 註冊 以發表評論。
Orthonormal basis Li 週五, 2025-12-12 17:48 已找到 orthonormal basis 為何還用 orthogonal basis 求 projection 呢?另外最後一句話對應的 orthogonal complement 是什麼意思?是指對 orthogonal complement 的投影嗎?到底先算對 $\mathrm{Span}(x^2,1)$ 投影比較好算還是對其 orthogonal complement 的投影比較好算? 登入 或 註冊 以發表評論。
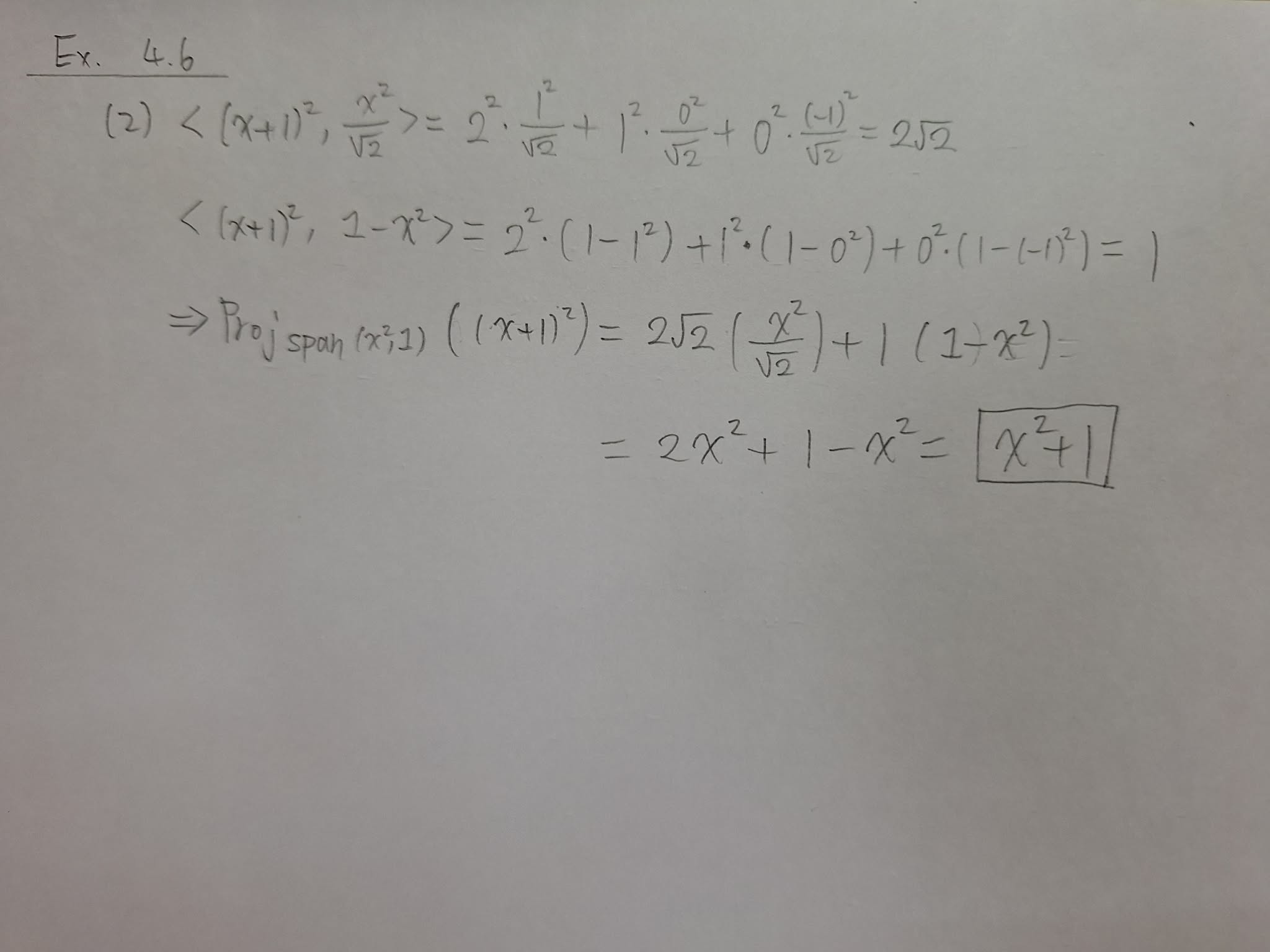
Orthonormal basis
已找到 orthonormal basis 為何還用 orthogonal basis 求 projection 呢?
另外最後一句話對應的 orthogonal complement 是什麼意思?是指對 orthogonal complement 的投影嗎?到底先算對 $\mathrm{Span}(x^2,1)$ 投影比較好算還是對其 orthogonal complement 的投影比較好算?