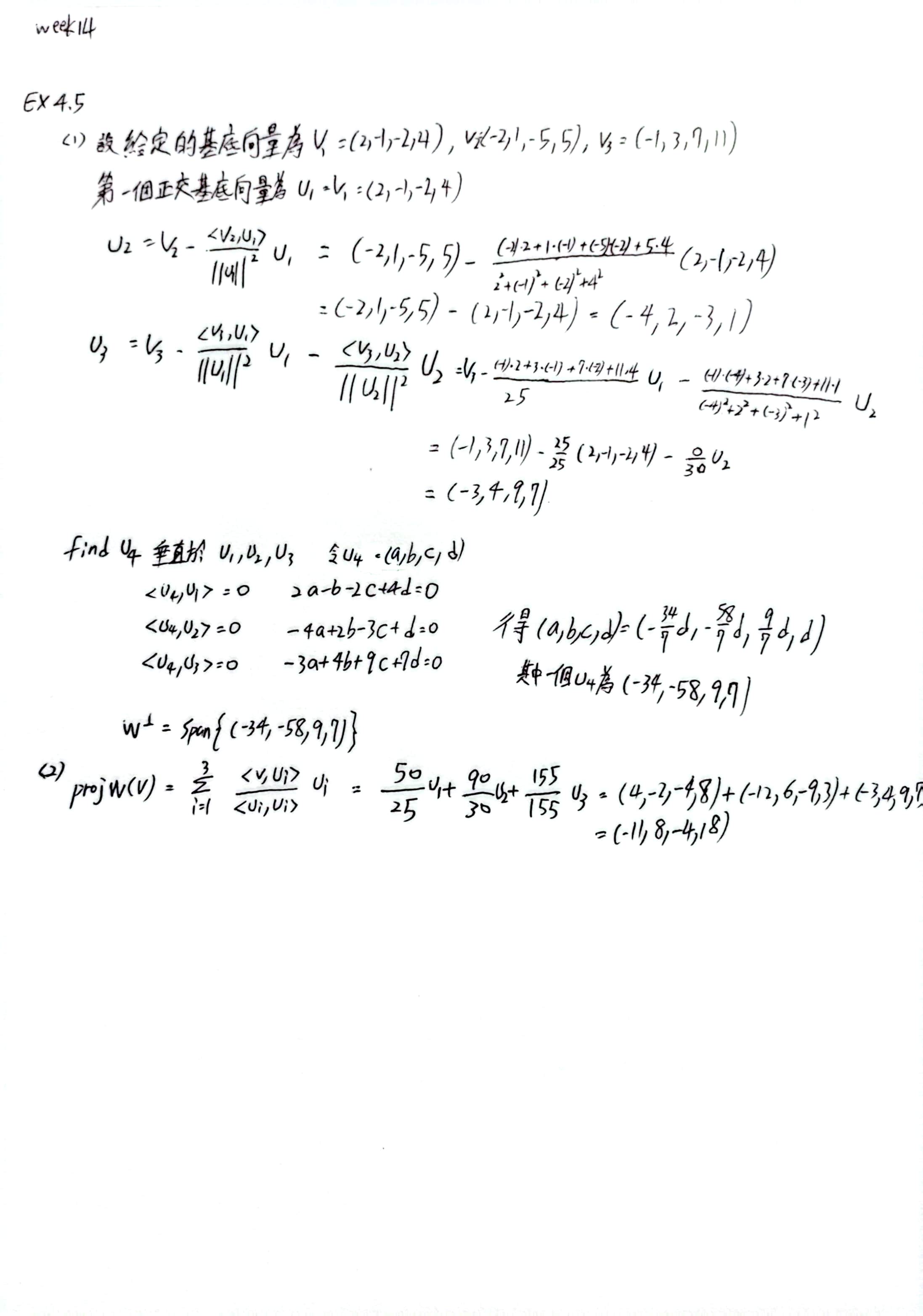
茗毅 10 December 2025 討論區 線性代數習題討論 (1) $\mathbf{u}_4$… 林宥呈 三, 2025-12-10 02:28 (1) $\mathbf{u}_4$ 可以試著先找一個任意向量 $\mathbf{v}$ 滿足 $\mathbf{v}\notin W$,再使用 Gram-Schmidt Process 找出 $W^{\perp}$ 中的向量(2) 沒有求 $W^\perp$ 中的 orthogonal projection 登入 或 註冊 以發表評論。 第二小題更正 茗毅 四, 2025-12-11 00:00 projw(v)=(-11,8,-4,18)u=v-projw(u)=(-45,-50,5,25)-(-11,8,-4,18)=(-34,-58,9,7) 登入 或 註冊 以發表評論。 第一小題更正 茗毅 四, 2025-12-11 00:12 登入 或 註冊 以發表評論。 先求哪個投影比較容易? Li 週五, 2025-12-12 16:51 本題不只要求 $W$ 的 orthogonal basis,也要求 $W^\perp$ 的 orthogonal basis。(2)要求寫下在 $W$ 和 $W^\perp$ 的投影 ,就是暗示先找哪一個投影比較容易(別把上課的提醒拋諸腦後)。誰能趕快作一個 $\mathbf{v}$ 對 $W^\perp$ 的投影,看看哪一個比較快?結果是否一樣? 登入 或 註冊 以發表評論。 補充 一塊土 三, 2025-12-17 21:37 登入 或 註冊 以發表評論。
(1) $\mathbf{u}_4$… 林宥呈 三, 2025-12-10 02:28 (1) $\mathbf{u}_4$ 可以試著先找一個任意向量 $\mathbf{v}$ 滿足 $\mathbf{v}\notin W$,再使用 Gram-Schmidt Process 找出 $W^{\perp}$ 中的向量(2) 沒有求 $W^\perp$ 中的 orthogonal projection 登入 或 註冊 以發表評論。
第二小題更正 茗毅 四, 2025-12-11 00:00 projw(v)=(-11,8,-4,18)u=v-projw(u)=(-45,-50,5,25)-(-11,8,-4,18)=(-34,-58,9,7) 登入 或 註冊 以發表評論。
先求哪個投影比較容易? Li 週五, 2025-12-12 16:51 本題不只要求 $W$ 的 orthogonal basis,也要求 $W^\perp$ 的 orthogonal basis。(2)要求寫下在 $W$ 和 $W^\perp$ 的投影 ,就是暗示先找哪一個投影比較容易(別把上課的提醒拋諸腦後)。誰能趕快作一個 $\mathbf{v}$ 對 $W^\perp$ 的投影,看看哪一個比較快?結果是否一樣? 登入 或 註冊 以發表評論。
(1) $\mathbf{u}_4$…
(1) $\mathbf{u}_4$ 可以試著先找一個任意向量 $\mathbf{v}$ 滿足 $\mathbf{v}\notin W$,再使用 Gram-Schmidt Process 找出 $W^{\perp}$ 中的向量
(2) 沒有求 $W^\perp$ 中的 orthogonal projection