gata666 4 December 2025 討論區 線性代數習題討論 本題結案 Li 週五, 2025-12-12 18:38 本題並沒限制在哪個向量空間。基本上若知道一組 basis 之間的 inner product 就可以決定所有向量之間的內積。反之,若知道向量與 basis 之間的內積,就可以確認此向量(不過只有在 orthogonal basis 的情況才不需解聯立)。有趣的是,本題真的滿足 $\langle \mathbf{v},\mathbf{v}\rangle\ge 0$ 且只有在 $\mathbf{v}=\mathbf{0}$ 才會滿足 $\langle \mathbf{v},\mathbf{v}\rangle= 0$ 嗎? 登入 或 註冊 以發表評論。
本題結案 Li 週五, 2025-12-12 18:38 本題並沒限制在哪個向量空間。基本上若知道一組 basis 之間的 inner product 就可以決定所有向量之間的內積。反之,若知道向量與 basis 之間的內積,就可以確認此向量(不過只有在 orthogonal basis 的情況才不需解聯立)。有趣的是,本題真的滿足 $\langle \mathbf{v},\mathbf{v}\rangle\ge 0$ 且只有在 $\mathbf{v}=\mathbf{0}$ 才會滿足 $\langle \mathbf{v},\mathbf{v}\rangle= 0$ 嗎? 登入 或 註冊 以發表評論。
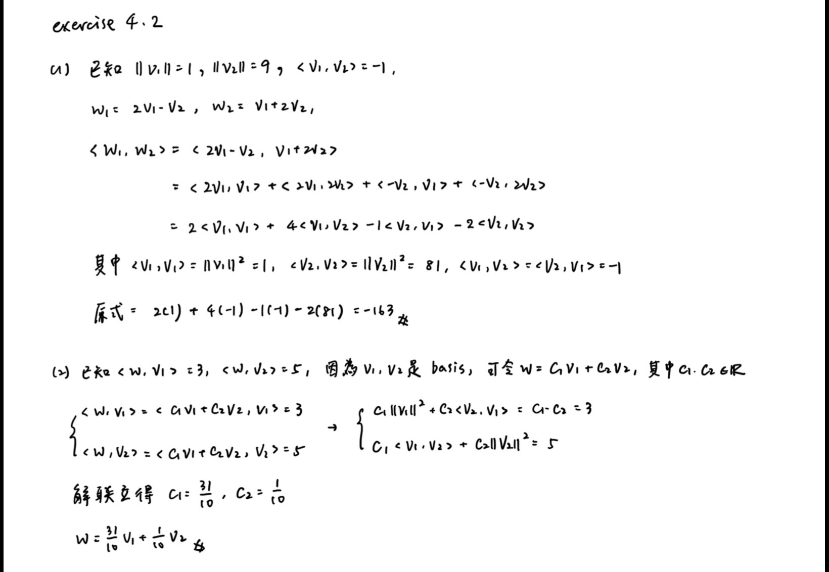
本題結案
本題並沒限制在哪個向量空間。基本上若知道一組 basis 之間的 inner product 就可以決定所有向量之間的內積。反之,若知道向量與 basis 之間的內積,就可以確認此向量(不過只有在 orthogonal basis 的情況才不需解聯立)。有趣的是,本題真的滿足 $\langle \mathbf{v},\mathbf{v}\rangle\ge 0$ 且只有在 $\mathbf{v}=\mathbf{0}$ 才會滿足 $\langle \mathbf{v},\mathbf{v}\rangle= 0$ 嗎?